
Texas Scientists Build Batteries That Work at -40°F
Electric vehicles stranded in freezing weather could soon be a thing of the past. Texas A&M researchers just cracked the code on batteries that keep running in extreme cold.
When Chicago's electric vehicles froze solid at charging stations during the 2024 cold snap, it exposed a dangerous flaw in our push toward clean energy. Now, scientists at Texas A&M University have built batteries that laugh in the face of winter.
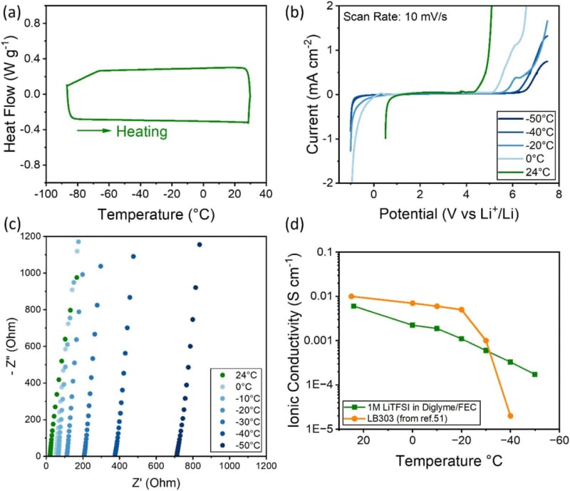
Dr. Jodie Lutkenhaus and her team published findings on a battery that works at temperatures as low as 40 degrees below zero. That's colder than almost anywhere people actually live, yet the battery keeps humming along.
The secret? They swapped out the parts that hate the cold. Traditional batteries use liquid electrolytes that freeze like water in a pipe, stopping all power flow. They also rely on hard materials that get sluggish when temperatures drop.
Lutkenhaus's team replaced the freezing liquid with a special electrolyte that stays fluid even in Arctic conditions. They also ditched the rigid materials for soft polymers that move ions faster in the cold. Think of it like replacing winter boots with ice skates.
The results speak for themselves. The battery maintained 85% of its power at freezing and still delivered 55% capacity at negative 40 degrees. For context, most conventional batteries give up entirely well before that point.

The team added another clever twist by weaving in carbon fiber instead of metal parts. This made the battery lighter and tougher, turning it into what researchers call a "structural battery" that can pull double duty as both power source and physical support in vehicles or drones.
The Ripple Effect
This breakthrough couldn't come at a better time. As climate change brings more extreme weather swings, our power grids face increasing strain during winter storms. Backup batteries that fail in the cold leave communities vulnerable exactly when they need help most.
Electric vehicles represent another massive opportunity. Range anxiety already keeps some buyers away, and knowing your car might not charge in a polar vortex doesn't help. Batteries that work in any weather remove one more excuse not to go electric.
The technology also opens doors for places that regularly see brutal winters. Residents in Alaska, Minnesota, or Canada could finally trust battery backup systems year-round. Off-grid communities wouldn't need to choose between renewable energy and reliable power.
Lutkenhaus offers practical advice while we wait for the technology to reach market: keep your electric vehicle in a garage during extreme cold and protect outdoor battery systems from the elements. But soon enough, that workaround might become unnecessary.
From smartphones dying in ski jackets to entire charging stations going dark, cold weather has been batteries' kryptonite since their invention. Not anymore.
More Images




Based on reporting by Phys.org - Technology
This story was written by BrightWire based on verified news reports.
Spread the positivity! 🌟
Share this good news with someone who needs it

